全口即刻负载种植固定义齿中基台特征对边缘骨水平变化的影响:1年回顾性病例系列研究
引言
多项研究报道显示,全口即刻负载种植固定义齿的留存率在84.3%到100%之间[1,2]。这种修复方案能恢复无牙颌患者的功能和解剖结构,患者满意度较高[3]。
临床可以采用不同的负载时机对无牙颌种植患者进行修复。即刻负载是指在种植体植入后1周内戴入修复体并建立咬合功能,这一时间间隔在早期负载中是1周到2个月,常规负载是2个月及以上[4]。
在骨结合期间,患者对即刻负载的满意度显著高于常规负载[5]。即刻负载能更快地恢复患者口腔功能,改善美学,并能避免二期手术,降低了治疗损伤,且患者在愈合期间无需佩戴常规活动义齿[6,7]。
在萎缩的上颌骨或下颌骨使用倾斜种植体可以减少修复体悬臂,改善应力分布,避免植骨,同时能获得更高的初期稳定性以实现即刻负载[8,9]。倾斜和轴向种植体的成功率和边缘骨吸收没有统计学显著差异[9]。倾斜种植体需要使用角度基台以获得更理想的修复体形态。角度基台由于需要校正倾斜种植体的角度,同时要为修复螺丝提供空间,它们的体积大于轴向基台,因此留给种植体周围软组织的空间变小了。以往研究认为软组织尺寸的变化会影响种植体周围边缘骨改变[10]。此外,与轴向基台不同,角度基台是非对称的,但目前还没有研究对角度基台近远中侧骨吸收是否存在差异进行评估。
在多颗种植体修复中,必须使用复合基台来实现种植体间的连接和修复体的被动就位。基台高度的选择取决于种植体在牙槽嵴的位置和种植体周围黏膜的垂直厚度。基台高度会影响种植体周围边缘骨吸收,这一结论在牙列缺损患者的种植中已得到证实[11]。相比于基台高度<2 mm,基台高度≥2 mm时能防止边缘骨吸收。目前的文献尚缺乏对全口即刻负载种植固定义齿中基台高度影响种植体周围边缘骨吸收和边缘骨改建的研究。
本回顾性研究旨在评估轴向基台高度、基台角度、角度基台两侧和种植部位对全口即刻负载种植固定义齿修复一年后的种植体周围边缘骨吸收和边缘骨改建的影响。这篇文章根据STROBE 报告清单进行撰写。(点击 https://fomm.amegroups.com/article/view/10.21037/fomm-21-64/rc可获取)
方法
研究设计
这项回顾性病例系列研究纳入了全口即刻负载种植固定义齿修复后随访1年的患者。所有患者均由来自瓦伦西亚大学医学与牙学院口腔外科同一小组,病例由一位口腔外科医生和一位口腔修复科医生共同完成。本研究通过查阅该科的临床和影像学数据库收集需要的信息。
每个纳入的受试者都签署了参与研究的知情同意书。该研究根据赫尔辛基宣言实施,研究方案得到了瓦伦西亚大学伦理委员会的批准(H1275992266359)。
操作步骤
收集术前信息:既往史、临床病史、术前曲面体层片和锥形束计算机体层扫描(CBCT)数据。术前建立正确的颌间关系和修复参考线(中线、笑线和尖牙线)。
手术当天,通过静脉注射咪达唑仑0.05 mg/kg和芬太尼1 mg/kg实施静脉镇静麻醉。起效后,进行局部浸润麻醉(4%阿替卡因加1/200 000肾上腺素)。如果患者意识仍然清醒,再静脉注射0.3~0.5 mg/kg的丙泊酚。根据患者的状态和麻醉深度,通过每30~60分钟使用1 mg咪达唑仑,0.5~1 mg/kg芬太尼和20 mg丙泊酚推注来维持镇静。手术和镇静过程在连续、无创的心电图、心率、血压及动脉血氧饱和度的监测下进行[12]。
术中行牙槽嵴顶切口,翻开黏骨膜瓣,将种植体植入在牙槽嵴以下的骨内。根据种植体位置和种植体周围黏膜的垂直厚度选择2 mm或3 mm高的轴向和3 mm或4mm高的角度基台(图1)。所有患者均使用同一类型种植体(直径4 mm,IPX®, Galimplant S.L., Sarria, Spain)和原厂基台。种植体为骨水平植体,颈部为锥度连接和平台转移设计。
按照Peñarrocha-Oltra等[6]的方案在术中记录种植体的位置。放置原厂即刻负载临时基底。无菌橡皮障保护术区。通过DuraLay树脂(Reliance Dental Manufacturing)将临时基底和预成的导板连接。取下后将导板转移到患者的诊断石膏上,后续制作螺丝固位的聚甲基丙烯酸甲酯(PMMA)临时固定修复体,修复体无远中悬臂。种植术后24小时内戴入临时固定义齿。调整咬合使应力均匀分布。6个月后戴入金属复合材料或金属陶瓷材料的最终修复体(图2)。
筛选标准
纳入标准:患者采用了全口即刻负载种植固定义齿的修复方案;治疗后随访1年;临床病史完整;能获得即刻负载修复体戴入后(T1),手术后6个月最终修复体戴入时(T2),手术后12个月后(T3)的曲面体层片。如果影像资料中伪影阻碍了种植体周围边缘骨吸收的正确测量患者,则被排除。
数据采集
获取临床病史和曲面体层片提取数据,包括患者性别、年龄、种植体数量、种植体长度、轴向基台高度、基台角度(图3)、角度基台两侧(远中和近中)及种植体部位(上颌或下颌),随访6个月和12个月时的种植体留存情况,种植体周围边缘骨吸收和边缘骨改建。根据Buser提出的标准[13]评估种植体是否成功:(1)无临床上可探及的种植体松动;(2)无疼痛或任何主观感觉;(3)无反复的种植体周围感染;(4)负载12个月后种植体周围无持续性的透射区。
种植体周围边缘骨吸收和边缘骨改建的测量
采用曲面体层片(Planmeca Promax® 3D Max and 2D S3, Helsinki, Finland)分析即刻负载修复体戴入后(T1)、手术后6个月戴入最终修复体时(T2)及手术后12个月(T3)种植体周围边缘骨水平。
使用CliniView 6.1.3.7软件程序(Instrumentarium, Valencia, Spain)进行影像学测量。以4 mm种植体直径为参考对每次测量进行校准。每个种植体都标明了两种边缘骨水平:一种是向种植体根方计算的边缘骨吸收,另一种向冠方计算的骨改建(图4)。种植体周围边缘骨吸收定义为发生在种植体平台根方的骨水平变化,由此导致种植体的部分粗糙表面不再被骨覆盖。为了计算这个变量,在6个月(T1和T2之间的差值)和12个月(T1和T3之间的差值)之后,通过种植体平台到影像学上第一个骨-种植体接触点来确定每个时间点的骨水平。骨改建被定义为发生在种植体平台冠方的骨水平变化,不会引起种植体粗糙表面的暴露。为了计算该变量,在6个月(T1和T2之间的差值)和12个月(T1和T3之间的差值)之后,通过种植体平台到牙槽嵴边缘的距离来确定每个时间点的骨水平。每个种植体的平均值通过测量近中和远中值来计算。对于角度基台,近中和远中边缘骨水平的变化也是单独测量。所有影像学测量值均由同一位经验丰富的测量者记录。
统计分析
在功能负载6个月和12个月后计算平均边缘骨吸收和骨改建的值。在轴向基台的高度(2 mm与3 mm)、种植体基台角度(轴向与角度)、3 mm基台的角度、3 mm角度基台的两侧(近中与远中)、3 mm角度基台的部位(上颌与下颌)和种植部位(上颌与下颌)中寻找影响边缘骨吸收和骨改建的协变量。计算平均值和标准偏差。Shapiro-Wilk检验用于正态性检验,如果满足正态分布,则用 t 检验来检测参数变量的差异。否则,则分别使用相关样本的非参数检验(Friedman和Wilcoxon检验)或独立样本的Mann-Whitney U检验进行统计分析。该研究的主要变量是6个月和12个月的骨吸收。Shapiro-Wilk检验得出的结论是没有足够的统计学证据来拒绝正态性(P=0.623和P=0.301),因此使用了参数分析的方法。应用一元广义线性模型来评估某个时间点的平均边缘骨吸收在某个因素(性别、年龄、种植位点、基台角度及基台高度)的不同水平下是否相似。随后,将检测到的影响因素(P<0.1)纳入多元回归模型,从而获得调整后的B系数。这些模型是在广义估计方程(GEE)下进行拟合的,以控制由于每个患者的种植体多样性而导致的结果依赖性。Wald检验的 χ2统计量用于评估主要效应和相互作用。分析中使用的显著性水平为 5%(α=0.05),统计学显著性水平设置为P<0.05。使用 Mac版 的 IBM SPSS 25.0 软件用于分析。
结果
17例患者(5例男性和12例女性)符合筛选标准。有3例患者因放射伪影造成至少有一颗种植体无法测量边缘骨改变而被排除。患者平均年龄65.71岁(35~79岁)。观察期内无种植体失败。表1显示了种植体的长度和在上、下颌的分布。
Full table
功能负载12个月后的种植体平均边缘骨吸收和骨改建为−0.51±1.04 mm和−0.81±0.84 mm(表2)。图5直观地描绘了6个月和12个月时的平均边缘骨吸收和骨改建的情况。
Full table
在轴向基台中,3 mm高的基台比2 mm基台表现出更少的边缘骨吸收和骨改建,但差异没有统计学意义(表3)。
Full table
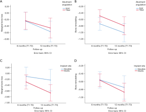
当考虑所有种植体时,角度基台在6个月和12个月时比轴向基台表现出更多的边缘骨吸收和骨改建,但差异没有统计学意义(表4)。图6A,图6B直观地描述了这些结果。仅分析3 mm高的轴向和角度基台时,12个月时的边缘骨吸收(P=0.0001)和6个月时的骨改建(P=0.034)存在显著的统计学差异(表5)。对于角度基台,近中侧的边缘骨吸收和骨改建高于远中侧,但差异无统计学意义(表6)。
Full table
Full table
Full table
与上颌种植体相比,下颌种植体在随访期间表现出更少的边缘骨吸收和骨改建。随访12个月后,下颌和上颌边缘骨吸收的平均差值为0.46±0.36 mm,具有统计学意义(P=0.001)。骨改建在功能负载6个月和12个月后表现出具有统计学意义的变化(P≤0.05)(表7),差值详见图6C,图6D。
Full table
根据一元和多元回归分析,在6个月时,唯一显著影响边缘骨吸收的因素是性别(P=0.008)(表8),女性的骨吸收比男性少。在12个月时(表9),唯一有显著影响的因素是年龄(P=0.014),年轻患者表现出更大的边缘骨吸收。种植体位置、基台角度和基台高度在6个月或12个月时均未显著影响骨吸收。多重交互作用模型显示因子之间不具有统计显著的交互作用。
Full table
Full table
讨论
本回顾性研究分析了轴向基台高度、基台角度、角度基台两侧及种植部位对种植体周围边缘骨吸收和边缘骨改建的影响。
许多研究对即刻负载进行分析,其结果令人满意[2,3,14]。Peñarrocha-Oltra等[6]在36例无牙颌患者(每组18例)中进行了前瞻性非随机对照研究并随访了12个月。全口固定修复由常规负载种植体(对照组)和即刻负载种植体(实验组)支持。一共植入183颗种植体,常规负载组的种植成功率为99.0%,即刻负载组的为97.6%,两者无统计学差异。所有即刻负载的修复体都成功留存。即刻负载组的平均骨吸收为0.71 mm(标准差0.25 mm),常规负载组的平均骨吸收为0.60 mm(标准差0.28 mm),两者无统计学差异。Tealdo等[15]进行了一项前瞻性随机研究,49例患者中的34例采用了种植即刻负载,15例采用了种植常规负载,随访了36个月。结果显示:即刻负载组(10颗种植体失败)的成功率为93.3%,常规负载组(4颗种植体失败)的成功率为95.5%,差异无统计学意义。本研究中没有种植体发生失败,可能是由于样本量小和随访时间短造成的。
Linkevicius等[16]认为,将种植体植入牙槽嵴下骨内有望在黏膜较薄的区域避免边缘骨吸收。这种植入方法使得种植平台上方存在骨质,这对于保持种植体周围组织的健康十分重要。最近的研究认为边缘骨吸收和边缘骨改建是具有代表性的两个变量[16]。
Galindo-Moreno等[11]在一项使用了308颗种植体的回顾性研究中证明,基台高度可能影响边缘骨吸收。修复体基台高度<2 mm的边缘骨吸收显著大于≥2 mm的基台,这可能与软组织厚度有关。Linkevicius等[17]证明,2 mm的软组织厚度是避免种植体周围边缘骨吸收的最小值。但如果黏膜厚度>2 mm且有多种基台高度可供选择时,由于会对种植体周围黏膜造成压力,选择高度低的基台(<2 mm)将造成种植体周围骨更大比例的吸收[18]。本研究为回顾性研究,在得知上述结果之后对患者进行了治疗,因此研究中没有使用<2 mm的基台。2 mm和3 mm高度的基台之间没有出现统计学差异,因此2 mm的基台高度似乎能确保种植体周围良好的骨表现。
关于种植体的角度问题,Ata-Ali等[19]在一项荟萃分析中研究了倾斜种植体的边缘骨吸收和种植成功率。他们分别对7项回顾性研究和6项前瞻性研究进行了荟萃分析。对166个倾斜种植体和241个轴向种植体的成功率进行了回顾性计算,对379个倾斜种植体和425个轴向种植体的成功率进行了前瞻性计算,还前瞻性地研究了230个倾斜和270个轴向种植体的边缘骨吸收。在任何研究设计中,都没有发现两者成功率和边缘骨吸收在统计学上存在显著差异。Hopp等[20]回顾性地比较了上颌All-on-4治疗后随访5年的轴向和倾斜种植体的边缘骨吸收和种植成功率。该研究纳入2379个种植体(1201个轴向,1178个倾斜),轴向和倾斜种植体的边缘骨吸收(分别为1.14±0.71 mm和1.19±0.82 mm)和种植成功率(分别为95.7%和96.1%)都没有统计学差异。角度基台通常是与倾斜种植体结合使用。
当分析所有种植体时,角度基台在6个月和12个月后比轴向基台出现更多的边缘骨吸收和骨改建,但都没有统计学上的显著差异(表4)。这些发现直观地展现在图6A,图6B中。当仅分析3 mm高的轴向和角度基台时,12个月后的边缘骨吸收(P=0.0001)和6个月后的骨改建(P=0.034)存在统计学差异(表5)。对于角度基台,近中边缘骨吸收和骨改建高于远中,差异无统计学意义(表6)。
尽管没有统计学差异,通常角度基台的边缘骨吸收和骨改建往往更高。为了减少干扰,更好地比较基台角度的影响,本研究试图在同一高度上——3 mm,比较轴向和角度基台的骨水平变化。在12个月后,观察到角度基台比轴向基台有更多的边缘骨吸收。这些关于边缘骨吸收的研究结果与Omori等[21]在荟萃分析中获得的结果一致,他们的结论支持连接角度基台的种植体比连接直基台的种植体会出现更多的边缘骨吸收。
以往并没有研究比较过角度基台的近中和远中边缘骨水平的变化。本研究结果表明:角度基台远中侧对骨保存更有利(尽管不显著),这可能因为近中侧的膨大的基台设计压迫了软组织,产生了比远中侧更多的边缘骨吸收和边缘骨改建。Katafuchi等[22]评估了修复体穿龈轮廓角度及其与种植体周围炎的关系。对于骨水平种植体,修复角度>30º比≤30º更容易造成种植体周围炎,且差异有统计学意义。他们推测凸出的修复体穿龈轮廓会压迫种植体周围软组织并导致更多的边缘骨吸收。
上颌骨和下颌骨密度差异被认为会影响边缘骨吸收[23]。与其他研究[24]相同的是,本研究中的上颌边缘骨吸收显著高于下颌。
本研究的主要局限性在于研究设计:这是一个回顾性病例系列研究(科学证据水平较低)。此外,本研究随访时间短,样本量小。因此,从本研究的结果中得出的任何结论都应谨慎解读。后续应该在计算样本量之后,进行随访时间更长的前瞻性对照研究,以提高关于基台特征对全口即刻负载种植固定修复中边缘骨水平变化影响的科学证据水平。
总结
基于本研究的局限性,轴向基台高度和角度基台两侧对边缘骨吸收或骨改建没有影响。3 mm角度基台在6个月和12个月时的边缘骨吸收大于3 mm轴向基台,12个月时差异具有显著性。上颌种植体在功能负载1年后有着比下颌种植体更多的边缘骨吸收。需要开展更多设计和随访时间更长的临床研究,以更好地了解基台特征对全口即刻负载种植固定修复中边缘骨水平变化的影响。
Acknowledgments
Funding: None.
Footnote
Provenance and Peer Review: This article was commissioned by the Guest Editor (Mario Pérez-Sayáns) for the series “Marginal Bone Loss in Dental Implants: Factors Affecting and How to Prevent It” published in Frontiers of Oral and Maxillofacial Medicine. The article has undergone external peer review.
Reporting Checklist: The authors have completed the STROBE reporting checklist. Available at https://fomm.amegroups.org/article/view/10.21037/fomm-21-64/rc
Data Sharing Statement: Available at https://fomm.amegroups.org/article/view/10.21037/fomm-21-64/dss
Peer Review File: Available at https://fomm.amegroups.org/article/view/10.21037/fomm-21-64/prf
Conflicts of Interest: All authors have completed the ICMJE uniform disclosure form (available at https://fomm.amegroups.org/article/view/10.21037/fomm-21-64/coif). The series “Marginal Bone Loss in Dental Implants: Factors Affecting and How to Prevent It” was commissioned by the editorial office without any funding or sponsorship. The authors have no other conflicts of interests to declare.
Ethical Statement: The authors are accountable for all aspects of the work in ensuring that questions related to the accuracy or integrity of any part of the work are appropriately investigated and resolved. Every included subject signed an informed consent to participate in the study. The study was conducted in accordance with the Declaration of Helsinki, and the study protocol was approved by the Ethics Committee of the University of Valencia (H1275992266359).
Open Access Statement: This is an Open Access article distributed in accordance with the Creative Commons Attribution-NonCommercial-NoDerivs 4.0 International License (CC BY-NC-ND 4.0), which permits the non-commercial replication and distribution of the article with the strict proviso that no changes or edits are made and the original work is properly cited (including links to both the formal publication through the relevant DOI and the license). See: https://creativecommons.org/licenses/by-nc-nd/4.0/.
References
- Abou-Ayash S, Strasding M, Rücker G, et al. Impact of prosthetic material on mid- and long-term outcome of dental implants supporting single crowns and fixed partial dentures: A systematic review and meta-analysis. Eur J Oral Implantol 2017;10:47-65. [PubMed]
- Bagegni A, Abou-Ayash S, Rücker G, et al. The influence of prosthetic material on implant and prosthetic survival of implant-supported fixed complete dentures: a systematic review and meta-analysis. J Prosthodont Res 2019;63:251-65. [Crossref] [PubMed]
- Preciado A, Del Río J, Lynch CD, et al. A new, short, specific questionnaire (QoLIP-10) for evaluating the oral health-related quality of life of implant-retained overdenture and hybrid prosthesis wearers. J Dent 2013;41:753-63. [Crossref] [PubMed]
- Esposito M, Grusovin MG, Willings M, et al. Interventions for replacing missing teeth: different times for loading dental implants. Cochrane Database Syst Rev 2007;CD003878 [PubMed]
- Peñarrocha-Oltra D, Peñarrocha-Diago M, Canullo L, et al. Patient-reported outcomes of immediate versus conventional loading with fixed full-arch prostheses in the maxilla: a nonrandomized controlled prospective study. Int J Oral Maxillofac Implants 2014;29:690-8. [Crossref] [PubMed]
- Peñarrocha-Oltra D, Covani U, Peñarrocha M, et al. Immediate versus conventional loading with fixed full-arch prostheses in mandibles with failing dentition: a prospective controlled study. Int J Oral Maxillofac Implants 2015;30:427-34. [Crossref] [PubMed]
- Scala R, Cucchi A, Ghensi P, et al. Clinical evaluation of satisfaction in patients rehabilitated with an immediately loaded implant-supported prosthesis: a controlled prospective study. Int J Oral Maxillofac Implants 2012;27:911-9. [PubMed]
- Maló P, Rangert B, Nobre M. "All-on-Four" immediate-function concept with Brånemark System implants for completely edentulous mandibles: a retrospective clinical study. Clin Implant Dent Relat Res 2003;5:2-9. [Crossref] [PubMed]
- Agliardi EL, Francetti L, Romeo D, et al. Immediate rehabilitation of the edentulous maxilla: preliminary results of a single-cohort prospective study. Int J Oral Maxillofac Implants 2009;24:887-95. [PubMed]
- Díaz-Sánchez M, Soto-Peñaloza D, Peñarrocha-Oltra D, et al. Influence of supracrestal tissue attachment thickness on radiographic bone level around dental implants: A systematic review and meta-analysis. J Periodontal Res 2019;54:573-88. [Crossref] [PubMed]
- Galindo-Moreno P, León-Cano A, Ortega-Oller I, et al. Prosthetic Abutment Height is a Key Factor in Peri-implant Marginal Bone Loss. J Dent Res 2014;93:80S-5S. [Crossref] [PubMed]
- Bovaira M, Herrero Babiloni A, Jovaní M, et al. Preoperative Anxiety and Its Influence on Patient and Surgeon Satisfaction in Patients Receiving Dental Implant Surgeries Performed Under Intravenous Conscious Sedation. Int J Oral Maxillofac Implants 2017;32:912-8. [Crossref] [PubMed]
- Buser D, Weber HP, Lang NP. Tissue integration of non-submerged implants. 1-year results of a prospective study with 100 ITI hollow-cylinder and hollow-screw implants. Clin Oral Implants Res 1990;1:33-40. [Crossref] [PubMed]
- Maló P, Rangert B, Nobre M. All-on-4 immediate-function concept with Brånemark System implants for completely edentulous maxillae: a 1-year retrospective clinical study. Clin Implant Dent Relat Res 2005;7:S88-94. [Crossref] [PubMed]
- Tealdo T, Bevilacqua M, Menini M, et al. Immediate versus delayed loading of dental implants in edentulous maxillae: a 36-month prospective study. Int J Prosthodont 2011;24:294-302. [PubMed]
- Linkevicius T, Puisys A, Linkevicius R, et al. The influence of submerged healing abutment or subcrestal implant placement on soft tissue thickness and crestal bone stability. A 2-year randomized clinical trial. Clin Implant Dent Relat Res 2020;22:497-506. [Crossref] [PubMed]
- Linkevicius T, Apse P, Grybauskas S, et al. Reaction of crestal bone around implants depending on mucosal tissue thickness. A 1-year prospective clinical study. Stomatologija 2009;11:83-91. [PubMed]
- Collaert B, De Bruyn H. Early loading of four or five Astra Tech fixtures with a fixed cross-arch restoration in the mandible. Clin Implant Dent Relat Res 2002;4:133-5. [Crossref] [PubMed]
- Ata-Ali J, Peñarrocha-Oltra D, Candel-Marti E, et al. Oral rehabilitation with tilted dental implants: a metaanalysis. Med Oral Patol Oral Cir Bucal 2012;17:e582-7. [Crossref] [PubMed]
- Hopp M, de Araújo Nobre M, Maló P. Comparison of marginal bone loss and implant success between axial and tilted implants in maxillary All-on-4 treatment concept rehabilitations after 5 years of follow-up. Clin Implant Dent Relat Res 2017;19:849-59. [Crossref] [PubMed]
- Omori Y, Lang NP, Botticelli D, et al. Biological and mechanical complications of angulated abutments connected to fixed dental prostheses: A systematic review with meta-analysis. J Oral Rehabil 2020;47:101-11. [Crossref] [PubMed]
- Katafuchi M, Weinstein BF, Leroux BG, et al. Restoration contour is a risk indicator for peri-implantitis: A cross-sectional radiographic analysis. J Clin Periodontol 2018;45:225-32. [Crossref] [PubMed]
- Davies JE. Understanding peri-implant endosseous healing. J Dent Educ 2003;67:932-49. [Crossref] [PubMed]
- Ting M, Tenaglia MS, Jones GH, et al. Surgical and Patient Factors Affecting Marginal Bone Levels Around Dental Implants: A Comprehensive Overview of Systematic Reviews. Implant Dent 2017;26:303-15. [Crossref] [PubMed]
王凤
上海交通大学医学院附属第九人民医院,口腔医学博士,副主任医师,硕士生导师。中华口腔医学会口腔种植专业委员会青年委员,国际口腔种植协会专家组成员 (ITI fellow),美国密歇根大学访问学者。主要从事口腔种植与修复。发表英文论文40余篇,参编英文著作多部,主持国家自然科学基金青年项目1项,上海市高校及上海交通大学科研项目2项,参与多个国家级及省部级课题。(更新时间:2023-04-28)
邹多宏
上海交通大学医学院附属第九人民医院研究员、教授、博士生导师。中华口腔医学会牙及牙槽外科专业委员会副主任委员及口腔种植专业委员会委员。安徽省杰出青年基金获得者,入选上海市卫生健康学科带头人和上海市杰出青年医学人才,并获得上海医学科技奖青年奖、上海市青年科技杰出贡献奖及教育部科学技术进步奖二等奖。长期致力于口腔牙槽骨修复及复杂种植基础与临床转化研究。提出了“以稳定为核心”的牙槽骨修复治疗新理念,创建了单纯人工骨粉修复牙槽骨重度缺损新技术,革新了国际上必须用自体骨修复骨缺损的治疗理念;针对老年牙缺失患者特殊临床需求,研发了国际首款老年口腔种植体及专用手术器械,整体提升患者生命质量。研究成果将有效服务人口老龄化国家战略,助推口腔种植医疗器械“卡脖子”技术攻关。(更新时间:2023-04-28)
(本译文仅供学术交流,实际内容请以英文原文为准。)
Cite this article as: Bernabeu-Mira JC, Soto-Peñaloza D, Peñarrocha-Diago M, Peñarrocha-Oltra D. Influence of abutment characteristics on marginal bone level changes in immediate loading implant-supported full-arch fixed dental prostheses: a retrospective case series study with 1-year follow-up. Front Oral Maxillofac Med 2021;3:34.




